размер частиц
Гранулометрия: Секрет Идеальной Плитки, Который Скрывают Производители Приветствую, друзья! Сегодня мы поговорим о том, что обычно остается за кадром
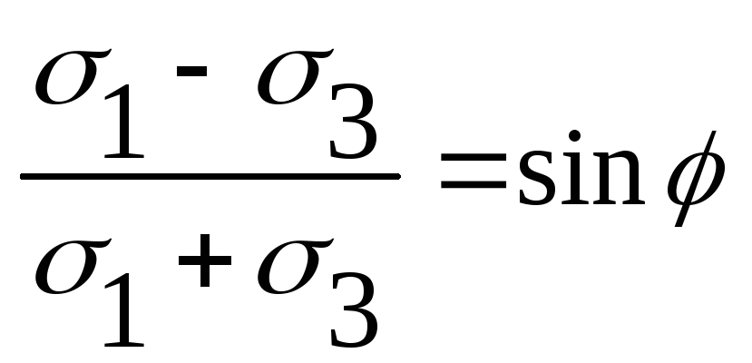
Гранулометрия и Прочность: Как Размер Влияет на Устойчивость Задумывались ли мы когда-нибудь, насколько размер частиц материала влияет на его способность


